Description
Biotinylated Recombinant Human CSF2RA/GM-CSF R alpha/CD116 Protein
The Biotinylated Recombinant Human CSF2RA/GM-CSF R alpha/CD116 Protein is a biologically active recombinant protein that plays a significant role in various cellular processes and signaling pathways in human biology. This protein is widely employed in immunological research, cell biology studies, protein-protein interaction analyses, and therapeutic development, providing researchers with a reliable tool for investigating Biotinylated CSF2RA/GM-CSF R alpha/CD116 function and its implications in health and disease.
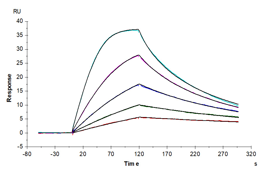
This product (SKU: RPCB0632) is produced using advanced expression systems and features a C-His&Avi tag for convenient detection and purification. The protein exhibits a calculated molecular weight of 37.7 kDa with an observed molecular weight of 68-75 kDa under denaturing conditions, achieving ≥ 95 % as determined by SDS-PAGE;≥ 95 % as determined by HPLC., ensuring exceptional quality and consistency for research applications.
Key Features
| High Purity by Affinity Chromatography | |
| Mammalian & Bacterial Expression Systems | |
| High lot-to-lot consistency via strict QC |
| Product Name: | Biotinylated Recombinant Human CSF2RA/GM-CSF R alpha/CD116 Protein |
| SKU: | RPCB0632 |
| Size: | 100 μg |
| Reactivity: | Human |
| Synonyms: | GM-CSF-R-alpha, GMCSFR-alpha, GMR-alpha, CSF2R, CSF2RY, CSF2RA, CDw116, CD116, CSF2RAX, CSF2RAY, CSF2RX, GMCSFR, GMR, SMDP4 |
| Tag: | C-His&Avi |
| Calculated MW: | 37.7 kDa |
| Observed MW: | 68-75 kDa |
| Gene ID: | 1438 |
| Protein Description: | High quality, high purity and low endotoxin recombinant Biotinylated Recombinant Human CSF2RA/GM-CSF R alpha/CD116 Protein (RPCB0632), tested reactivity in HEK293 cells and has been validated in SDS-PAGE.100% guaranteed. |
| Endotoxin: | < 1 EU/μg of the protein by LAL method. |
| Purity: | ≥ 95 % as determined by SDS-PAGE;≥ 95 % as determined by HPLC. |
| Formulation: | Lyophilized from 0.22 μm filtered solution in PBS (pH 7.4). Normally 8% trehalose is added as protectant before lyophilization. |
| Reconstitution: | Centrifuge the vial before opening. Reconstitute to a concentration of 0.1-0.5 mg/mL in sterile distilled water. Avoid vortex or vigorously pipetting the protein. For long term storage, it is recommended to add a carrier protein or stablizer (e.g. 0.1% BSA, 5% HSA, 10% FBS or 5% Trehalose), and aliquot the reconstituted protein solution to minimize free-thaw cycles. |
| Storage: | Store at -20℃.Store the lyophilized protein at -20℃ to -80 ℃ up to 1 year from the date of receipt. After reconstitution, the protein solution is stable at -20℃ for 3 months, at 2-8℃ for up to 1 week. |
In the first trimester, the GM-CSF-R was found to be present on villous cytotrophoblast and all populations of extravillous trophoblast. Expression by villous syncytiotrophoblast was weak or absent, but this increased markedly by term. GM-CSF-R were also expressed by fetal Hofbauer cells within the mesenchyme of the chorionic villi and by uterine glandular epithelium and decidual macrophages within maternal decidua.


