Description
Recombinant Human LILRB2/ILT-4/CD85d Protein
The Recombinant Human LILRB2/ILT-4/CD85d Protein is a biologically active recombinant protein that plays a significant role in various cellular processes and signaling pathways in human biology. This protein is widely employed in immunological research, cell biology studies, protein-protein interaction analyses, and therapeutic development, providing researchers with a reliable tool for investigating LILRB2/ILT-4/CD85d function and its implications in health and disease.
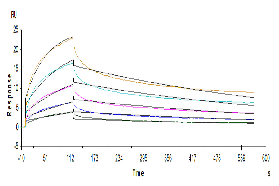
This product (SKU: RPCB0527) is produced using HEK293 cells and features a C-hFc tag for convenient detection and purification. The protein exhibits a calculated molecular weight of 74.1 kDa with an observed molecular weight of 80-110 kDa under denaturing conditions, achieving ≥ 95 % as determined by SDS-PAGE;≥ 95 % as determined by HPLC., ensuring exceptional quality and consistency for research applications.
Key Features
| High Purity by Affinity Chromatography | |
| Mammalian & Bacterial Expression Systems | |
| High lot-to-lot consistency via strict QC |
| Product Name: | Recombinant Human LILRB2/ILT-4/CD85d Protein |
| SKU: | RPCB0527 |
| Size: | 100 μg |
| Reactivity: | Human |
| Synonyms: | CD85d, ILT4, ILT-4, ILT4CD85d, LILRB2, LIR2, MIR10 |
| Tag: | C-hFc |
| Expression Host: | HEK293 cells |
| Calculated MW: | 74.1 kDa |
| Observed MW: | 80-110 kDa |
| Gene ID: | 10288 |
| Protein Description: | High quality, high purity and low endotoxin recombinant Recombinant Human LILRB2/ILT-4/CD85d Protein (RPCB0527), tested reactivity in HEK293 cells and has been validated in SDS-PAGE.100% guaranteed. |
| Endotoxin: | < 1 EU/μg of the protein by LAL method. |
| Purity: | ≥ 95 % as determined by SDS-PAGE;≥ 95 % as determined by HPLC. |
| Formulation: | Lyophilized from 0.22 μm filtered solution in PBS (pH 7.4). Normally 8% trehalose is added as protectant before lyophilization. |
| Reconstitution: | Centrifuge the vial before opening. Reconstitute to a concentration of 0.1-0.5 mg/mL in sterile distilled water. Avoid vortex or vigorously pipetting the protein. For long term storage, it is recommended to add a carrier protein or stablizer (e.g. 0.1% BSA, 5% HSA, 10% FBS or 5% Trehalose), and aliquot the reconstituted protein solution to minimize free-thaw cycles. |
| Storage: | Store at -20℃.Store the lyophilized protein at -20℃ to -80 ℃ up to 1 year from the date of receipt. After reconstitution, the protein solution is stable at -20℃ for 3 months, at 2-8℃ for up to 1 week. |
The immunoglobulin-like transcript (ILT) comprise a family of activating and inhibitory type immunoreceptors whose genes are located in the same locus that encodes killer cell Ig-like receptors (KIR). ILT4, also known as LIR-2 and LILRB2, is a type I transmembrane protein expressed primarily on monocytes and dendritic cells (DC). LILRB2 is a receptor for class I MHC antigens. Recognizes a broad spectrum of HLA-A, HLA-B, HLA-C, HLA-G and HLA-F alleles.



