Description
Recombinant Human TNFRSF1B/TNF-R2/CD120b Protein
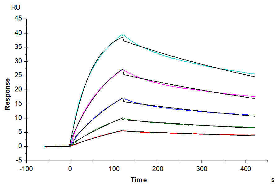
The Recombinant Human TNFRSF1B/TNF-R2/CD120b Protein is a biologically active recombinant protein that plays a significant role in various cellular processes and signaling pathways in human biology. This protein is widely employed in immunological research, cell biology studies, protein-protein interaction analyses, and therapeutic development, providing researchers with a reliable tool for investigating TNFRSF1B/TNF-R2/CD120b function and its implications in health and disease.
This product (SKU: RPCB0500) is produced using HEK293 cells and features a C-mFc tag for convenient detection and purification. The protein exhibits a calculated molecular weight of 51.5 kDa with an observed molecular weight of 70-80 kDa under denaturing conditions, achieving ≥ 95 % as determined by SDS-PAGE;≥ 95 % as determined by HPLC., ensuring exceptional quality and consistency for research applications.
Key Features
| High Purity by Affinity Chromatography | |
| Mammalian & Bacterial Expression Systems | |
| High lot-to-lot consistency via strict QC |
| Product Name: | Recombinant Human TNFRSF1B/TNF-R2/CD120b Protein |
| SKU: | RPCB0500 |
| Size: | 100 μg |
| Reactivity: | Human |
| Synonyms: | CD120b, Etanercept, p75TBPII, p75TNFR, TNF RII, TNF-R2, TNF-R75, TNFR80, TNFRSF1B, TNFR2, TBPII, TNFBR, TNFR1B |
| Tag: | C-mFc |
| Expression Host: | HEK293 cells |
| Calculated MW: | 51.5 kDa |
| Observed MW: | 70-80 kDa |
| Gene ID: | 7133 |
| Protein Description: | High quality, high purity and low endotoxin recombinant Recombinant Human TNFRSF1B/TNF-R2/CD120b Protein (RPCB0500), tested reactivity in HEK293 cells and has been validated in SDS-PAGE.100% guaranteed. |
| Endotoxin: | < 1 EU/μg of the protein by LAL method. |
| Purity: | ≥ 95 % as determined by SDS-PAGE;≥ 95 % as determined by HPLC. |
| Formulation: | Lyophilized from 0.22 μm filtered solution in PBS (pH 7.4). Normally 8% trehalose is added as protectant before lyophilization. |
| Reconstitution: | Centrifuge the vial before opening. Reconstitute to a concentration of 0.1-0.5 mg/mL in sterile distilled water. Avoid vortex or vigorously pipetting the protein. For long term storage, it is recommended to add a carrier protein or stablizer (e.g. 0.1% BSA, 5% HSA, 10% FBS or 5% Trehalose), and aliquot the reconstituted protein solution to minimize free-thaw cycles. |
| Storage: | Store at -20℃.Store the lyophilized protein at -20℃ to -80 ℃ up to 1 year from the date of receipt. After reconstitution, the protein solution is stable at -20℃ for 3 months, at 2-8℃ for up to 1 week. |
Tumor Necrosis Factor Receptor II (TNF RII), also known as TNFRSF1B, p75/p80, and CD120b, is a type I transmembrane protein that belongs to the TNF receptor superfamily. It has a molecular weight of approximately 75 kDa.Receptor with high affinity for TNFSF2/TNF-alpha and approximately 5-fold lower affinity for homotrimeric TNFSF1/lymphotoxin-alpha. The TRAF1/TRAF2 complex recruits the apoptotic suppressors BIRC2 and BIRC3 to TNFRSF1B/TNFR2. This receptor mediates most of the metabolic effects of TNF-alpha.



