Description
Recombinant Mouse GAS-6 Protein
The Recombinant Mouse GAS-6 Protein is a high-quality recombinant protein designed for murine biological research applications. This protein serves as an essential reagent in mouse model studies, comparative immunology research, and preclinical therapeutic evaluations, enabling scientists to investigate GAS-6 biology and its relevance to human disease mechanisms through translational research approaches.
This product (SKU: RPCB1983) is produced using HEK293 cells and features a C-His tag for convenient detection and purification. The protein exhibits a calculated molecular weight of 73.09 kDa with an observed molecular weight of 74-90 kDa under denaturing conditions, achieving ≥ 95 % as determined by SDS-PAGE.≥ 95 % as determined by HPLC.. Functional bioactivity has been validated through rigorous quality control assays, confirming its suitability for demanding research applications.
Key Features
| High Purity by Affinity Chromatography | |
| Mammalian & Bacterial Expression Systems | |
| High lot-to-lot consistency via strict QC |
| Product Name: | Recombinant Mouse GAS-6 Protein |
| SKU: | RPCB1983 |
| Size: | 100 μg |
| Reactivity: | Mouse |
| Synonyms: | GAS6, AXLLG, AXSF |
| Tag: | C-His |
| Expression Host: | HEK293 cells |
| Calculated MW: | 73.09 kDa |
| Observed MW: | 74-90 kDa |
| Gene ID: | 14456 |
| Protein Description: | High quality, high purity and low endotoxin recombinant Recombinant Mouse GAS-6 Protein (RPCB1983), tested reactivity in HEK293 cells and has been validated in SDS-PAGE.100% guaranteed. |
| Endotoxin: | < 1 EU/μg of the protein by LAL method. |
| Purity: | ≥ 95 % as determined by SDS-PAGE.≥ 95 % as determined by HPLC. |
| Formulation: | Lyophilized from a 0.22 μm filtered solution of PBS, pH 7.4. |
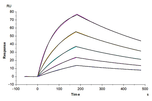
| Bio-Activity: |
|
| Reconstitution: | Centrifuge the tube before opening. Reconstitute to a concentration of 0.1-0.5 mg/mL in sterile distilled water. Avoid vortex or vigorously pipetting the protein. For long term storage, it is recommended to add a carrier protein or stablizer (e.g. 0.1% BSA, 5% HSA, 10% FBS or 5% Trehalose), and aliquot the reconstituted protein solution to minimize free-thaw cycles. |
| Storage: | Store at -20℃.Store the lyophilized protein at -20℃ to -80 ℃ up to 1 year from the date of receipt. After reconstitution, the protein solution is stable at -20℃ for 3 months, at 2-8℃ for up to 1 week. |
Growth arrest-specific 6, also known as Gas6, is a human gene encoding the Gas6 protein, which was originally found to be upregulated in growth-arrested fibroblasts. Gas6 is a member of the vitamin K-dependent family of proteins expressed in many human tissues and regulates several biological processes in cells, including proliferation, survival and migration, by binding to its receptors Tyro3, Axl and Mer (TAM).


