Description
Fatty Acid Oxidation (FAO) Quantitative Assay Kit (MAES0446)
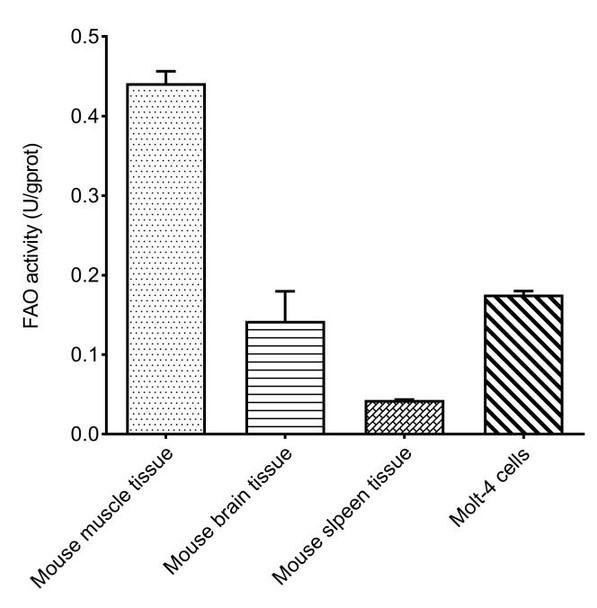
The Fatty Acid Oxidation (FAO) Quantitative Assay Kit (MAES0446) is a reliable and sensitive tool designed for the quantitative detection of fatty acid oxidation activity in animal tissue and cell samples. Fatty acid oxidation is a central metabolic process that provides a major source of energy by breaking down long-chain fatty acids into shorter molecules suitable for cellular metabolism. This process plays a vital role in maintaining energy balance and is closely associated with metabolic functions in organs such as the liver, heart, and muscle. The kit is optimized for colorimetric detection using a microplate reader at 450 nm, allowing for accurate and reproducible measurement of FAO activity across diverse biological samples.
During the FAO reaction, the substrate and NAD⁺ are consumed, leading to the generation of NADH. Through the combined action of an electron-coupling reagent and a chromogenic agent, NADH promotes the formation of an orange-red compound that can be quantitatively measured, directly reflecting the level of fatty acid oxidation. With a high sensitivity of 0.11 U/L, a wide detection range (0.11–8.33 U/L), and excellent assay precision, this kit provides a fast and efficient workflow for evaluating fatty acid metabolism in research focused on energy homeostasis, mitochondrial function, and metabolic diseases.
| Product Name: | Fatty Acid Oxidation (FAO) Quantitative Assay Kit |
| SKU: | MAES0446 |
| Sample Type: | Animal Tissue, Cell |
| Detection Method: | Colorimetric Method |
| Detection Instrument: | Microplate reader (440-460 nm, optimum wavelength: 450 nm) |
| Research Area: | Energy Metabolism |
| Other Reagents Required: | Normal saline (0.9% NaCl) |
| Storage: | This product can be stored at -20°C for 12 months with shading light. |
| Valid Period: | 12 months |
| Sensitivity: | 0.11 U/L |
| Range: | 0.11-8.33 U/L |
| Precision: |
|
| Sample Volume: | 100 μL (tissue/cell homogenate) |
| Assay Time: | 50 mins |
Fatty acid oxidation (FAO) is the principal metabolic pathway responsible for the breakdown of fatty acids, providing a major source of energy for the organism. It also plays a crucial role in the conversion of fatty acids to forms suitable for cellular metabolism, as long-chain fatty acids are oxidized into shorter-chain derivatives that better meet metabolic demands. The detection principle of this kit is based on the FAO process, during which the substrate and NAD⁺ are consumed and NADH is generated. In the presence of an electron-coupling reagent and a chromogenic agent, NADH promotes the formation of an orange-red compound, the intensity of which can be quantitatively measured at 450 nm.
| Sample Type | Dilution Factor |
| 10% Mouse liver tissue homogenate | 2–3 |
| 10% Mouse brain tissue homogenate | 2–3 |
| 10% Mouse lung tissue homogenate | 1 |
| 10% Mouse spleen tissue homogenate | 1 |
| 10% Mouse kidney tissue homogenate | 2–5 |
| 10% Mouse heart tissue homogenate | 2–3 |
| 10% Mouse muscle tissue homogenate | 1 |
| 1×106 Molt-4 cells | 1 |
| 1×106 HL-60 cells | 1 |
| 1×106 Jurkat cells | 1 |
| The diluent is normal saline (0.9% NaCl) or PBS (0.01 M, pH 7.4). For the dilution of other sample types, please do pretest to confirm the dilution factor. | |