Description
Recombinant Human IL-2 R beta/CD122 Protein
The Recombinant Human IL-2 R beta/CD122 Protein is a biologically active recombinant protein that plays a significant role in various cellular processes and signaling pathways in human biology. This protein is widely employed in immunological research, cell biology studies, protein-protein interaction analyses, and therapeutic development, providing researchers with a reliable tool for investigating IL-2 R beta/CD122 function and its implications in health and disease.
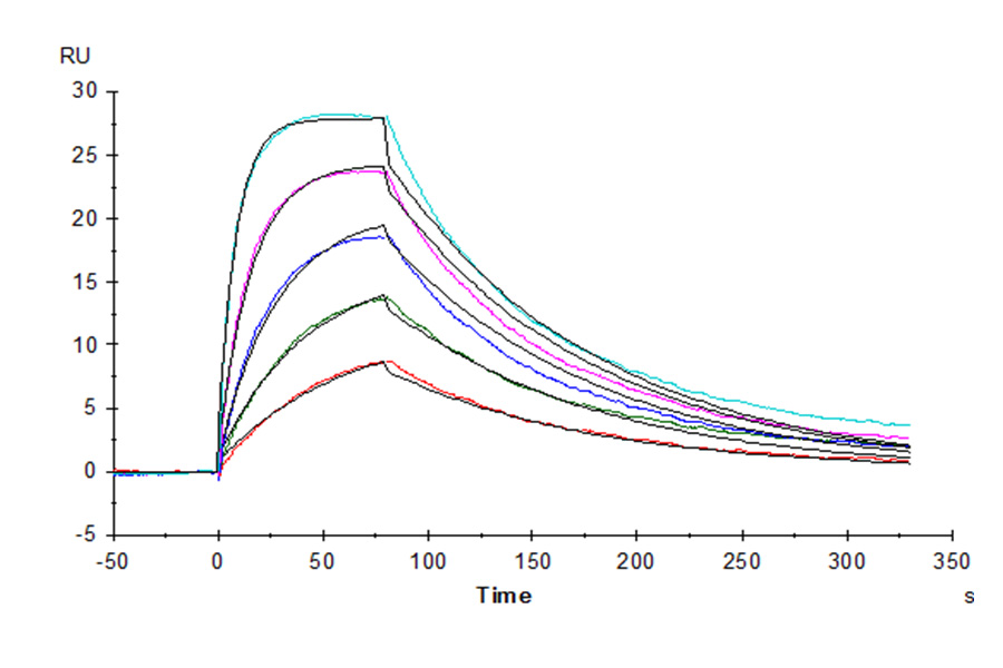
This product (SKU: RPCB0539) is produced using HEK293 cells and features a C-His&Avi tag for convenient detection and purification. The protein exhibits a calculated molecular weight of 27.5 kDa with an observed molecular weight of 40-50 kDa under denaturing conditions, achieving ≥ 95 % as determined by SDS-PAGE;≥ 95 % as determined by HPLC., ensuring exceptional quality and consistency for research applications.
Key Features
| High Purity by Affinity Chromatography | |
| Mammalian & Bacterial Expression Systems | |
| High lot-to-lot consistency via strict QC |
| Product Name: | Recombinant Human IL-2 R beta/CD122 Protein |
| SKU: | RPCB0539 |
| Size: | 100 μg |
| Reactivity: | Human |
| Synonyms: | CD122, IL-15 R beta, IL-2 R beta, IL-2R subunit beta, IL2RB, P70-75, p75, RP5-1170K4.6, IL-15 R β, IL-2 R β, IL-2R subunit β |
| Tag: | C-His&Avi |
| Expression Host: | HEK293 cells |
| Calculated MW: | 27.5 kDa |
| Observed MW: | 40-50 kDa |
| Gene ID: | 3560 |
| Protein Description: | High quality, high purity and low endotoxin recombinant Recombinant Human IL-2 R beta/CD122 Protein (RPCB0539), tested reactivity in HEK293 cells and has been validated in SDS-PAGE.100% guaranteed. |
| Endotoxin: | < 1 EU/μg of the protein by LAL method. |
| Purity: | ≥ 95 % as determined by SDS-PAGE;≥ 95 % as determined by HPLC. |
| Formulation: | Lyophilized from 0.22 μm filtered solution in PBS (pH 7.4). Normally 8% trehalose is added as protectant before lyophilization. |
| Reconstitution: | Centrifuge the vial before opening. Reconstitute to a concentration of 0.1-0.5 mg/mL in sterile distilled water. Avoid vortex or vigorously pipetting the protein. For long term storage, it is recommended to add a carrier protein or stablizer (e.g. 0.1% BSA, 5% HSA, 10% FBS or 5% Trehalose), and aliquot the reconstituted protein solution to minimize free-thaw cycles. |
| Storage: | Store at -20℃.Store the lyophilized protein at -20℃ to -80 ℃ up to 1 year from the date of receipt. After reconstitution, the protein solution is stable at -20℃ for 3 months, at 2-8℃ for up to 1 week. |
IL-2 R beta is a member of the cytokine receptor superfamily. Human IL-2 R beta cDNA encodes a 551 amino acid residue precursor Type I membrane protein with a 26 residue signal peptide, a 214 residue extracellular region, a 25 residue transmembrane region and a 286 residue cytoplasmic domain. Functional IL-2 receptors can exist in two affinity states on cell surfaces, the high affinity complex consisting of heterotrimers of the alpha, beta, and gamma chains, and the intermediate affinity complex comprising heterodimers of the beta and gamma chains.



